
中1数学 1次方程式 特設 移項 超入門をstayhomeで Youtube

中1数学 方程式の解き方4 カッコ 分数 小数 例題編 映像授業のtry It トライイット

傲览千古on Twitter 1原等温切平面方程式2用内积空间定义等温切平面方程式3用各向异性的黎曼度规张量空间定义等温切平面方程式
方程式 中1 のギャラリー

人教版九年级物质的化学变化之5化学反应方程式讲义

一题多解系列10 求圆的标准方程和一般方程及其应用 每日头条
初一第10章 一元一次方程式linear Equation In One 独中数学参考书 学习单 教学视频 复习题 Yumo Publishers 语默出版社 Facebook

中1 方程式9 方程式の活用 比例式の文章題 中1数学33時間目 Youtube

中1方程式 一次方程式の解き方をまとめておくよ 基本計算 分数 小数まで 数スタ

數學第四冊 用配方法解一元二次方程式 教育學習中心 痞客邦
一道计算一元二次方程解的算法题 Sesiria的博客 Csdn博客

数学方程式题目图片 第1页 一起扣扣网

1 5 直線方程式直線方程式abc Yxa 2 Yxb 3 3 3 Yyyxxx G Abc Cag g Abg

中考数学 题型讲解 代数式方程式求解 运算

物质在空气 氧气中燃烧的现象和相关化学方程式 简书

數學第四冊 用配方法解一元二次方程式 教育學習中心 痞客邦

这几种方法教你如何配平化学方程式 快速搞定化学基础配平 热备资讯

テ対 中1 数学 方程式 レポート 中学生 数学のノート Clear

怎样解二元一次方程组 方法库

使反应方程式正确 提示

强化学习中的贝尔曼方程式的推导

世界一わかりやすい数学問題集中1 3章 方程式
初中数学一元一次方程 应用题外常考题型汇总 抓住关键打好基础

双氧水的分解反应方程式中 计算时 H2o2是68好新中吗高中 高中课题目

Ccf Csp 1912 3 化学方程式配平 Python 满分代码 江南蜡笔小新 Csdn博客

1 5 直線方程式直線方程式1chapter Abc Yxa 2 Yxb 3 3 3 Yyyxxx G Abc Cag g Abg

省钱方程式 19款哈弗h7才是最优解 价格

初中数学 如果方程中有参数 如何快速化解

化学狗也要懂数学吗 薛定谔方程和复数 化学空间chem Station

使用onenote 中的數學小幫手來解決數學方程式 Onenote
中学1年生 数学 方程式の解き方 練習プリント 無料ダウンロード 印刷 ちびむすドリル 中学生

支持向量机背后的数学 对于svm背后的数学和理论解释的快速概览及如何实现 闪念基因 个人技术分享

热化学反应方程式 Ppt 十八文库
高中化学离子反应方程式总结 百度文库

化学狗也要懂数学吗 薛定谔方程和复数 化学空间chem Station

中考化学实际应用定量分析专题复习 含答案 每日头条

高考化学考点归纳10 离子反应与离子方程式 王羽课堂

二元一次方程及其例题解析 竟然这么简单 赶考状元

神解 一看就懂 中2數學 應用科學 誠品網路書店

初中数学 分式方程的解法实战课程 逢试必考 人人必会

上選択 中1数学方程式問題 無料の印刷可能な素材

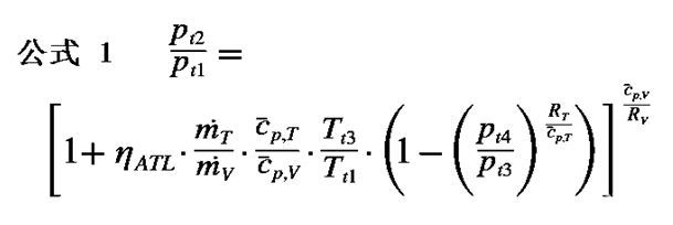
降低现代废气涡轮增压器滑动轴承的摩擦功率 易车网

高一化学必修1方程式归纳 按章节整理 高中生一定要记牢
周义仓编常微分方程习题答案 1 1 百度文库

初中化学方程式排名 初中化学方程式意思 初中化学方程式大全 下载 淘宝海外

初中数学 Z Nx Zh K

高考化学考点归纳10 离子反应与离子方程式 王羽课堂

在onenote 中使用筆跡或文字在onenote 中建立數學方程式 Onenote

R语言中求解线性方程组的方法 翔宇亭it乐园
初一第10章 一元一次方程式linear Equation In One 独中数学参考书 学习单 教学视频 复习题 Yumo Publishers 语默出版社 Facebook

数学 一次方程式 中学生 数学のノート Clear

化学方程式电子转移图 第1页 要无忧健康图库

关于递归 使用多个递归步骤解决递归方程 码农家园

在onenote 中使用數學小幫手繪製數學函數圖表 Onenote

1 16 直線方程式k228 商職數學金箍棒總複習yxa 0 Cby Axl Ba C By Ax Lad 求點 5 2

点心优课化学于汐 提分必备 高中化学选修四重难点知识全整理 知乎

Word怎么在文档中输入二元一次方程式 52攻略

100 2 中数1下1 2 精选进阶本 学 解二元一次联立方程式 百度文库

科学网 缺陷之 美 缺陷反应方程式 黄振鹏的博文

第十九章直流电机的的基本方程式和运行特性 Ppt 十八文库

初中数学 分式方程的解法实战课程 逢试必考 人人必会

如何在vba中编写方程式 Thinbug

高考化学考点归纳10 离子反应与离子方程式 王羽课堂

椭圆3维空间方程式 程序员大本营

9 9 应方程式
中学1年生 数学 方程式の解き方 練習プリント 無料ダウンロード 印刷 ちびむすドリル 中学生

Excel求解多元一次 一元二次方程组就是这么简单 知乎

朋友圈说说开心 句子魔

中1 数学 方程式 中学生 数学のノート Clear

偏微分方程的数值解 三 化工应用实例 触煤反应装置内温度及转换率的分布 冷月无声的博客 Csdn博客

中考二轮复习 中考化学方程式的真题解析 三好网

一次方程式 中1 練習問題あり答えあり 中学生 数学のノート Clear

高考化学考点归纳13 氧化还原反应 王羽课堂

傲览千古on Twitter 在这种完全不信神的 高度理性的 普世的 自由的 民主的 开放的 免费的 批判的科学文明和信息文明中 连续两千六百多年以来 一直都严格地遵守 亚里士多德逻辑学 中人人皆知的最著名的三大逻辑公理 1同一逻辑公理

人教版九年级物质的化学变化之5化学反应方程式讲义

橢圓方程式 中壢家商廖志偉老師 Youtube

1 1 常微分方程式簡介 Youtube

数学里非常有用的工具 距离公式在求圆的方程中的应用
高中化学必修1第三章第一节第3课时 物质的量在化学方程式计算中的应用 课件 练习题 点点通高中化学 微信公众号文章阅读

初中数学一元一次方程之巧思妙解 这些方程你家孩子都会解了吗 每日头条

Cah2中氢元素呈 1价 与水反应的方程式中 水做氧化剂还是还原剂 哔哩哔哩 つロ干杯 Bilibili

数学 方程式の解き方をわかりやすくまとめました 簡単に解くための たった2つポイントとは 中1 方程式 中学数学 数学 行間 ぎょうのあいだ 先生

聯立方程式 均一教育平台

R中求解一元方程的方法 翔宇亭it乐园

神解 一點就通 中1數學 金石堂
世界五大 最美 方程式 1 0 看点快报

高考化学考点归纳10 离子反应与离子方程式 王羽课堂

数学方程式题目图片 第1页 一起扣扣网

1次方程式の解き方2 無料で使える中学学習プリント

年高考一轮复习 理科生必会高中化学难写方程式 三好网

中1 1次方程式 でつまずく原因と解決法 分数

中1数学 方程式 23 1 中学数学高校数学個別指導in山形市 数専ゼミ

化学方程式中 和 的用法 期中考赶紧来看 深圳中考 家长帮

恋爱方程式app下载 恋爱方程式官网版下载v1 3 1 游戏6下载站

高考化学考点归纳13 氧化还原反应 王羽课堂

世界一わかりやすい数学問題集中1 3章 方程式
中学1年生 数学 方程式の解き方 練習プリント 無料ダウンロード 印刷 ちびむすドリル 中学生

高二數學 2 2 空間中直線方程式 1 1 Mov Youtube

高一化学必修1方程式归纳 按章节整理 高中生一定要记牢

纯干货 Creo和proe方程式曲线的演化和应用 知乎

Yeah 悅讀識數方程式中階下 三民網路書店



