中学2年生 数学 連立方程式の活用 文章題 練習問題プリント 無料ダウンロード 印刷 ちびむすドリル 中学生

在onenote 中使用筆跡或文字在onenote 中建立數學方程式 Onenote
2
中 1 方程式 文章 問題 のギャラリー

高一數學 直線方程中簡單的對稱問題 每日頭條

A X3peey6qf 7m
數感教育 繼續聊聊一元二次方程解 數感實驗室numeracy Lab Facebook

Swecingmjj3opm

中学数学 1次方程式 文章題の解き方 速さ 時間 道のり その2

用薛丁格方程探索宇宙的終極意義 每日頭條

對稱簡潔除了美也很實用 幾個應用對稱思維來破解的數理益智問題 Pansci 泛科學
常見的108課綱國高中數學問題都在這了 新舊課綱差別 免費資源amazingtalker

數學家接連破解超過六十年未知的丟番圖方程式 33和42的三立方和問題 Unimath

中学 数学 問題 無料学習プリント教材

在onenote 中使用筆跡或文字在onenote 中建立數學方程式 Onenote

Craig Wright 不是中本聰的三大理由 鏈聞chainnews

Diffeqflux Jl Julia 的神經微分方程套件
常見的108課綱國高中數學問題都在這了 新舊課綱差別 免費資源amazingtalker

一次方程式の文章題1 数 代金 過不足の問題 無料で使える中学学習プリント
中学生 文章問題 解き方のノート一覧 Clear

搞懂 極點 與 零點 電子技術設計

用google Docs 寫數學公式 就像word 插入方程式

文章題 速さ 追いつく1

世上最簡單的公式 歷代數學家們怎麼解釋 為什麼1 加1 等於2 Techorange

國三生注意 明年會考仍有素養題 無1年內時事題 中小學 文教 聯合新聞網
中学3年生 数学 2次方程式の活用 練習問題プリント 無料ダウンロード 印刷 ちびむすドリル 中学生

連立方程式の文章題1 無料で使える中学学習プリント

オリジナル中学数学方程式文章題

中学数学 1次方程式 文章題の解き方 分配 年齢 貯金

代購代標第一品牌 樂淘letao Ne52 040 塾専用精選トレーニング数学中2 問題 解答付計2冊m5b

博客來 天地方程式1 誤闖隱身所

中1数学 方程式の文章問題 割合と定価 Youtube

中学数学 連立方程式 文章題の解き方 立式のコツ

中文綜合 拿分方程式

Word 上原生latex 數學方程式編寫 科科仔
最も気に入った 一次方程式 文章題 デザイン文具

中1数学 方程式の文章題 速さ 例題編 映像授業のtry It トライイット

史上最難的奧數題目 理論數學家解不開 但神人用高中數學輕鬆破解 Techorange

在onenote 中使用筆跡或文字在onenote 中建立數學方程式 Onenote

中2数学 連立方程式文章題 トンネル 鉄橋問題

中1数学 1次方程式文章問題 追いつく問題 速さ編 Youtube

中1数学 方程式文章題 解き方 Youtube

107學年度指考非選擇題評分標準說明 數學乙 大考中心
呈分試攻略 呈分科目計分方程式資深老師 主科失1分等於失9分 香港經濟日報 Topick 親子 親子資訊 D

中1の1次方程式の文章問題集uox 数樂問題集販売所

中1 一次方程式の文章題 距離 時間 速さ関連の問題 中学数学の方程式 中間 期末テスト 高校入試対策

Word 03 在 的位置對齊 13 Office 小技巧分享 痞客邦

中1 数学 方程式7 文章題 買い物 16分 Youtube

一次方程式の文章問題の解き方 数学fun

中学数学 1次方程式 文章題の解き方 代金 個数

中学校数学 学習サイト

善用word與endnote協助論文編排 七 公式標號與交互參照 國立臺灣大學圖書館參考服務部落格

中学数学 1次方程式 文章題の解き方 代金 個数
停課不停學 小六英文版數學搶分練習題答案簡易方程式文字題 香港經濟日報 Topick 親子 親子資訊 D0410

一切從閱讀開始 提升寫作立意的教學設計

數學家接連破解超過六十年未知的丟番圖方程式 33和42的三立方和問題 Unimath

中1数学 方程式の文章題 買い物 練習編1 映像授業のtry It トライイット

私鑰分割 Shamir S Secret Sharing 在做區塊鏈應用的時候 最常碰到的一個問題就是 怎麼保管私鑰 怎麼讓使用者方便 但 By Kimi Wu Taipei Ethereum Meetup Medium

數學第三冊 因式分解解一元二次方程式 教育學習中心 痞客邦

中学数学 中1文字式 数樂管理人のブログ

連立方程式の利用 速さ 道のり 時間の文章問題の解き方 Qikeru 学びを楽しくわかりやすく

用google Docs 寫數學公式 就像word 插入方程式
中学2年生 数学 連立方程式の活用 文章題 練習問題プリント 無料ダウンロード 印刷 ちびむすドリル 中学生

中1数学 1次方程式文章問題 追いつく問題 速さ編 Youtube
中学2年生 数学 連立方程式の活用 文章題 練習問題プリント 無料ダウンロード 印刷 ちびむすドリル 中学生

數學第三冊 因式分解解一元二次方程式 教育學習中心 痞客邦

Word 插入方程式 永析統計及論文諮詢顧問

武漢肺炎 連洗手台 馬桶都是病毒 院內感染為什麼可怕 破解隔離病房的5大問題 Heho健康
巴菲特也參考的致勝黃金方程式 凱利公式 Yahoo奇摩股市

中学数学 1次方程式 文章題の解き方 代金 個数
打不死的內容農場 揭開 密訊 背後操盤手和中國因素 報導者the Reporter

如何解決沉默螺旋民調再加15 的問題 解三元一次聯立方程式 Unimath
中学2年生 数学 連立方程式の活用 文章題 練習問題プリント 無料ダウンロード 印刷 ちびむすドリル 中学生
Http Www Naer Edu Tw Ezfiles 0 1000 Img 67 Pdf

中1の1次方程式の文章問題集uox 数樂問題集販売所

連立方程式の利用 速さ 道のり 時間の文章問題の解き方 Qikeru 学びを楽しくわかりやすく

一頁ppt 45 分鐘演講 159 年無人能解的 黎曼猜想 終於要被證實了 Techorange
如何用word在方程式右邊加上標號 Insert A Right Aligned Caption Next To An Equation 布丁布丁吃什麼

解決googleplay審核中的webviewclient Onreceivedsslerror問題 程式前沿

連立方程式の利用 速さ 道のり 時間の文章問題の解き方 Qikeru 学びを楽しくわかりやすく
如何用word在方程式右邊加上標號 Insert A Right Aligned Caption Next To An Equation 布丁布丁吃什麼

撰寫方程式或公式 Office 支援

中1数学 1次方程式文章問題 追いつく問題 速さ編 Youtube

中学数学 連立方程式 文章題の解き方 割合の問題

私鑰分割 Shamir S Secret Sharing 在做區塊鏈應用的時候 最常碰到的一個問題就是 怎麼保管私鑰 怎麼讓使用者方便 但 By Kimi Wu Taipei Ethereum Meetup Medium

109會考數學科 這4單元最常考難題藏在三角形裡 109會考衝刺 文教 聯合新聞網

用google Docs 寫數學公式 就像word 插入方程式

呈分試挑戰題 小五數學名校精選試題答案學習簡易方程式應用題 香港經濟日報 Topick 親子 親子資訊 D

諾貝爾物理學獎與羅傑 彭羅斯的靈感 一瞬間的沉默如何解決了黑洞內部的奇怪數學問題 c News 中文
數感生活 嶄新的一元二次方程式思路 環遊數界

中1数学 1次方程式文章問題 追いつく問題 速さ編 Youtube
給指考戰士的 軌跡圖形 在搞什麼軌 高中偶爾會出現 被視為boss級的 軌跡圖形 問題 一共分為兩大類 By 有熊老師

中1数学 1次方程式文章問題 途中で速さが変わる 速さ編 Youtube
請問這題 Clear

常見的108課綱國高中數學問題都在這了 新舊課綱差別 免費資源amazingtalker

初中数学 Z Nx Zh K

Studydoctor 中1数 方程式の文章題 速さ の解き方 Studydoctor

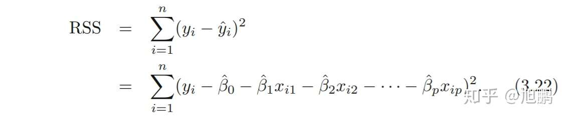
统计学习 Statistical Learning 3 线性回归 知乎
中学2年生 数学 連立方程式の活用 文章題 練習問題プリント 無料ダウンロード 印刷 ちびむすドリル 中学生
打不死的內容農場 揭開 密訊 背後操盤手和中國因素 報導者the Reporter

Zl1vdieib3wetm



